- 產品概述
- 選型參數
- 應用領域
- 使用說明
一、QJ型潛水深井泵概述
24-葉輪級數

|
QJ深井泵故障
|
QJ型潛水深井泵原因
|
QJ型潛水深井泵排除方法
|
|
不上水或者水量不足
|
1.動水位低于泵吸入口。
2.輸水管漏水嚴重或水管脫開。
3.轉子和軸松動。
4.部分葉輪松動。
5.電機反轉。
6.管路堵塞。
|
1.增加輸水管。
2.更換輸水管。
3.更換轉子。
4.重新裝配葉輪。
5.調換電源接頭。
6.清除堵塞。
|
|
水泵流量降
|
1.密封環嚴重磨損。
2.濾水網、導流殼、葉輪流道被堵塞。
3.電壓、頻率較低。
4.動水位下降超過水泵額定揚程。
|
1.更換密封環。
2.清除堵物。
3.停機待電壓、頻率達到規定值后再啟動。
4.更換高揚程泵。
|
|
機組劇烈震動或電流過大表指針擺動
|
1.泵軸或電機軸彎曲。
2.深井泵泵軸、電機軸和軸承磨損嚴重。
3.止推軸承磨損或損壞。
4.推力盤緊固螺母損壞。
5.推力盤破裂。
6.電機轉子掃膛。
7.葉輪、轉子不平衡或轉子斷條。
8.聯接螺栓松動。
9.水泵低揚程大流量電機超載。
10.井水涌水量不夠,問歇出水。
|
1.修理或更換泵軸或電機軸。
2.更換軸承。
3.更換止推軸承。
4.修好軸頭,更換螺母。
5.更換推力盤。
6.找出原因進行修理。
7.重作動平衡或更換轉子。
8.上緊螺栓。
9.加閘閥控制流量在工況點運行。
10.加閘閥控制出水量。
|
|
電機不能啟動嗡嗡做響
|
1.斷相。
2.電壓過低。
3.軸承抱軸。
4.葉輪密封環之間銹死等。
5.泵內有異物卡死葉輪不能轉動。
|
1.檢修線路或啟動設備。
2.調整電壓。
3.修理軸及軸承。
4.撬動水泵旋轉或拆下泵重裝。
5.取出異物。
|
|
絕緣電阻過低繞組燒毀
|
1.接頭進水。
2.繞組破壞。
3.電纜破裂。
4.電機內缺水。
5.缺相運轉。
6.長時間超載運轉。
7.電機埋入泥沙中。
|
1.修接頭。
2.包扎或更換繞組。
3.包扎電纜。
4.電機內保證灌滿清水。
5.檢查線路與設備。
6.降低負荷使電機電流不超過銘牌規定值。
7.按安裝要求安裝電機。
|
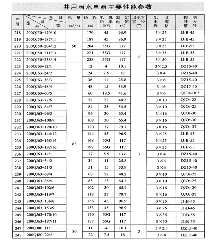
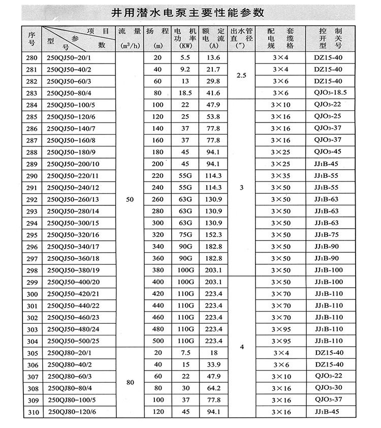
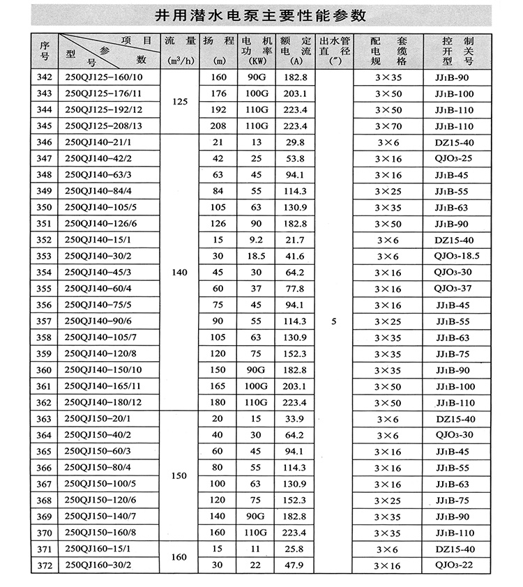
QJ型深井潛水泵性能參數
















結構說明 1.QJ型潛水電泵機組由:水泵、潛水電機(包括電纜)、輸水管和控制開關四大部分組成。潛水泵為單吸多級立式離心泵:潛水電機為密閉充水濕式、立式三相鼠籠異歩電動機,電機與水泵通過爪式或中.鍵筒式聯軸器直接;配備有不同規格的三芯電纜:起動設備為不同容量等級的空氣開關和自耦減壓起動器、輸水管為不同直徑的鋼管制成,采用法蘭聯接,高揚程電泵釆用閘閥控制。 2.潛水泵每級導流殼中裝有一個橡膠軸承;葉輪用錐形套固定在泵軸上:導流殼采用嫘紋或螺栓聯成一體。 3.高揚程潛水泵上部裝有止回閥,避免停機水錘造成機組破壞。 4.潛水電機軸上部裝有迷宮式防砂器和兩個反向裝配的骨架油封,防止流砂進入電機。 5.潛水電機采用水潤滑軸承,下部裝有橡膠調壓膜、調壓彈簧,組成調壓室,調節由于溫度引起的壓力變化;電機繞組采用聚乙烯絕緣,尼龍護套耐水電磁線,電纜聯接方式按QJ型電纜接頭工藝, 把接頭絕緣脫去刮凈漆層,分別接好,焊接牢固,用生橡膠繞-層。再用防水粘膠帶纏2~3層,外面包上2〜3層防水膠布或用水膠粘結包一層橡膠帶(自行車里胎〉以防滲水。 6.電機密閉,采用精密止口螺牷,電纜出口加膠塾進行密封。 7.電機上端有一個注水孔,有一個放氣孔,卜部打個放水孔。 8.電機下部裝有上卜—止推軸承,止推軸承上有溝槽用干冷卻,和它對磨的是不銹鋼推力盤,承愛水泵的上廠軸向力。



- 上一個產品: 暫無文章
- 下一個產品: SP不銹鋼深井潛水泵



































